火灾下钢筋混凝土框架结构受火性能的全过程分析
1 引言
长期以来,钢筋混凝土结构的抗火研究多是进行标准火灾下单个构件的抗火研究。由于试验边界条件的差异,单个构件与整体结构中的构件抗火性能相差很大。近年来对钢筋混凝土整体结构的抗火性能研究越来越受到重视,近二十年国内在这方面也做了不少研究,取得了较多的成果,但这些研究均是基于标准火灾或者尽量模拟标准火灾过程进行的,且由于试验条件的限制,研究还仅限于“简单”结构,所谓全过程分析也仅是对结构在火灾中的温度和力学性能进行分析。众所周知,标准火灾明显不同于千变万化的真实火灾,“简单”结构 也远不能反映真实“复杂”结构的火灾表现,而真正意义上的全过程分析,则应包括从火灾空间温度场到结构内部温度场再到结构火灾反应的全过程分析。钢筋混凝土结构抗火研究是进行真实火灾下的整体结构的全过程性能化研究,目前这方面国内外研究成果很少。
本文借助FDS软件对某百货大楼逐层进行火灾模拟,获得了火灾下整体火灾空间的温度场过程,在此基础上运用ANSYS有限元分析软件进行结构内部的温度场变化过程分析,进而进行真实结构在“真实”火灾下的内力和变形分析,研究火灾下结构的内力重分布,演示火灾下钢筋混凝土框架结构的全过程分析方法。
2 钢筋混凝土框架火灾环境模拟方法
2.1 火灾模拟方法
火灾模拟过程是对火灾空间所建立的流体动力学方程的求解过程。 计算流体动力学是建立在经典流体动力学与数值计算方法基础之上的一门新兴的独立学科,通过计算机数值计算和图像显示的方法,在时间和空间上定量描述流场的数值解,从而达到对物理问题研究的目的。FDS软件是美国国家标准研究所建筑与火灾研究实验室开发的以计算流体动力学为基础的场模型软件,主要用于火灾空间温度场的模拟。FDS的质量、 动量和能量的守恒方程以计算流体动力学为基础。
2.2 火灾温度场模拟
研究火灾特性(结构所处的火灾环境)是研究整体结构抗火性能的基础。本文以上海某百货大楼为背景,采用 FDS 进行火灾模拟以分析框架结构的火灾环境。该大楼为钢筋混凝土框架结构,地上7 层,地下1 层。在FDS模拟中,以单层火灾空间为研究对象,计算区域为62m×57m×4.5m。本文取其灾荷载最大的一层为研究对象,梁截面为0.3m×0.6m,柱截面为 0.6m×0.6m。在本次模拟中,设定火源位于计算区域的中心,环境温度20℃, 未考虑自动喷淋灭火系统和外界风速对火灾发展的影响。
用FDS进行火灾模拟,既可方便地获得火灾空间不同时刻的温度分布,也可方便获取空间某点的火灾温度过程。通过切片提取,还可方便显示某平面或立面的温度分布及温度全过程。其中火灾荷载最大,热释放速率、平均温度和局部温度均较高的某位置处的温度过程如下图1 所示,通过分段线性处理得到拟合曲线(图中虚线所示),作为后续框架结构内部温度场分析相应构件环境升温曲线。

图1 FDS分析温度曲线 图2 算例框架模型
3 火灾下框架结构内部温度场分析方法
清楚了解整体结构内部各点的温度变化过程是分析火灾中结构性能的前提。结构内部温度场研究主要有以下目的
1)为计算混凝土构件的耐火极限提供依据;
2)为火灾下整体结构或构件全过程非线性分析提供基础;
3)为计算温度载荷项和计入材料高温劣化的影响提供基础。
3.1 结构内部温度场分析基本理论
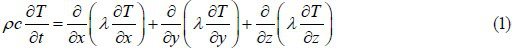
工程中的传热分析涉及到物体表面和内部的能量传递,在进行分析时都是在能量守恒的原则上建立平衡方程。能量守恒要求单位时间物体吸收的能量Ei加上物体自身在单位时间内产生的能量Eg,等于单位时间内离开物体的能量Eo与物体内部所贮存的能量Es之和。由能量守恒定律推导得钢筋混凝土结构的导热方程为

T为瞬态温度、t为时间、λ为导热系数、ρ为物体的质量密度、c为比热容、x、y、z为直角坐标。
火灾开始前,结构多处于环境温度状态,假设结构内部温度均匀且等于环境温度T0。发生火灾时,边界条件则视结构所处环境、与周围介质的换热等而不同,一般可分为三类。钢筋混凝土结构一般取第三类边界条件,即: 与结构相接触的流体介质温度Tf(结构表面附近的空气温度)和综合换热系数α为已知,用公式表示为

T为受火面的表面温度、n为构件表面法线向量、α与Tf可以是常数,也可以是某种随时间和位置而变化的函数。
3.2 框架结构内部温度场计算
与传统的标准火灾下二维传热分析不同,在进行“真实”火灾模拟时,结构所处火灾环境为非均匀温度场,结构内部除沿截面的二维传热外,还有沿构件纵向的热传递,应进行结构内部的三维传热分析。但由于计算机条件的限制,目前还无法计算火灾下的整体结构,本文 仅取图 2 所示的局部钢筋混凝土框架进行内部温度和结构反应计算,图中结构尺寸和所加荷载均按实际结构取值。且为简化分析,暂不考虑装修和粉刷层等对结构受热的影响。
本文进行温度场分析时,钢筋和混凝土热工系数采用欧洲规范建议的公式,环境温度采用FDS模拟的拟合曲线,ANSYS有限元软件建模时混凝土用SOLID70单元、 钢筋用LINK33单元模拟。采用上述方法对实体结构进行内部温度场分析,可得不同位置,不同时刻的结构内部温度场,作为火灾下框架结构受力分析的基础。图3,4分别为梁柱构件各截面不同时刻的温度场分布计算结果,图5,6分别为截面不同位置处温度的全过程变化曲线。
由图3~6可以看出,截面各点温度相差较大,而且随着与受火面距离的增大,温度升高的速度明显放缓。这一点也说明,增大混凝土保护层厚度可以有效降低内部钢筋的温度,提高结构的耐火性能,但是保护层过厚也会引起受弯构件过早开裂,应综合考虑。

T=600S T=3600S T=5400S T=9000S
图3 梁截面不同时刻温度场分布

T=600S T=3600S T=5400S T=9000S
图4 柱截面不同时刻温度场分布

图5 梁侧不同厚度处各点温度变化曲线 图6 柱截面中轴线不同厚度处温度变化曲线
4 火灾下框架结构的受力性能分析方法
4.1 结构分析方法
火灾下框架结构的受力性能主要包括结构变形性能和结构内力重分布特性。火灾下钢筋混凝土框架结构的计算非常复杂,一方面构件的材料性能和刚度随温度不断变化,另一方面还会在结构中产生不可忽略的温度内力。本文用ANSYS有限元程序进行热-结构耦合分析,还会在结构中产生不可忽略的温度内力。本文用ANSYS有限元程序进行热-结构耦合分析,利用前面已计算得到整体结构在高温下的温度场变化过程获得各个时刻构件的材料性能,再进行数值计算,得到框架结构的变形和内力的全过程分布。高温下混凝土及钢筋的本构关系模型均采用欧洲规范建议的公式,计算时同时采用如下假设
1)忽略混凝土的高温抗拉作用;
2)钢筋和混凝土之间无相对滑移;
3)截面应变线性分布,即符合平截面假定;
4)构件截面的温度场与材料的应力、应变和开裂情况无关。
4.2 火灾下框架结构的变形分析
在温度和荷载共同作用下,混凝土应变主要由四部分组成,外荷载产生的应εσ、温度升高膨胀产生的应变εth、瞬态热应变εtr、短期高温徐变εtc,即: ε=εσ+εth +εtr +εtc。结构在火灾中短期高温徐变很小,通常在计算时可忽略。根据这一方法,利用有限元分析软件ANSYS可以计算出框架结构在火灾中的全过程变形,图7为受火不同时刻的变形情况。从图中可看出,由于梁柱的受热膨胀,框架左右两侧的水平位移不断增大。

T=1800s T=5400s T=7200s
图7 框架的变形情况
图8为框架结构不同部位位移随时间变化过程,从图中可以看出
1)由于热膨胀的作用,梁轴向变形明显(图8(a)中1、2点和4、5点);
2)在高温膨胀和荷载作用下,梁跨中(图8(b)中2、4点)竖向位移呈波浪形变化;
3)框架节点(图8(b)中点1、3和5)的竖向位移基本呈现相同变化趋势, 升温初期,由于柱内侧受热膨胀伸长,各点的竖向位移向上逐渐增大;升温后期,虽然柱内侧仍然受热膨胀,但是由于材料性能降低,柱在外荷载作用下轴向压缩量增大,竖向位移增加缓慢并逐渐反向向下移动。

(a)结构不同点的水平位移 (b)结构不同点的竖向位移
图8 框架结构不同点的位移随时间变化曲线
3 火灾下框架结构的内力分析
钢筋混凝土析火灾时,不仅钢筋和混凝土材料本身力学性能发生劣变,结构内部的不均匀温度场会引起截面的温度应力和构件的膨胀变形,导致超静定结构发生明显的内力重分布,严重影响结构的极限承载力,甚至导致其与常温不同的破坏机构。
图9为计算所得不同部位处钢筋应力的变化过程,2 点位于梁跨中底部,1、3 点位于梁柱节点上部,6 点位于中柱上部,7 点位于边柱外侧,4、5 点位于柱根部。


T=0s T=7200s
图9 不同点钢筋应力随时间变化曲线 图10 受火前后框架弯矩分布示意
从图中可以看出
1)升温初期,钢筋应力随时间变化十分明显;
2)随着温度的升高,7点所示边柱的外侧的纵向钢筋由受压变为受拉,主要是边跨梁和边柱内侧的热膨胀使得柱向外弯曲所致;
3)升温初期,梁柱节点处梁底部热膨胀以及柱的约束作用使梁底受压、梁顶受拉的附加应力,1、3点所示梁顶纵向钢筋拉应力变大;
4)由于外荷载作用下纵向钢筋 应力与热膨胀引起的应力相反,2点所示梁跨中钢筋应力随温度作用而减小。
图10为根据计算结果所绘受火前后框架结构弯矩重分布示意图,受火后结构产生了明显的内力重分布。经过常温和高温下构件内力和承载力对比分析得,常温下原本安全的结构火 灾下失效,结构处于不安全状态。
5 结论
本文从火灾空间温度场模拟到结构内部温度场分析再到结构的受力性能分析,提出了真实火灾下钢筋混凝土整体框架结构全过程分析方法,主要得出以下结论
1)采用以场模型理论为基础开发的FDS软件,可以很好地进行“真实”火灾的数值模拟,得到火灾空间温度场变化过程,即火灾下框架火灾环境温度变化的全过程,为结构抗火 分析提供依据。
2)通过有限元分析软件ANSYS结合FDS空间温度场分析结果,可以方便实现火灾下框架结构内部温度场的全过程分析。
3)利用ANSYS可以对钢筋混凝土框架结构进行热-结构耦合全过程分析, 分析火灾下框架结构火灾反应的全过程。分析结果显示高温下结构变形远大于常温下的变形;随着温度升高,由于温度应力和高温膨胀变形,结构内部应力随时间变化十分明显;由于火灾下结构内力重分布,严重影响结构的承载能力,甚至导致与常温下明显不同的破坏机构。
4)由于计算机条件限制,目前仅能进行高温下局部框架的内部温度和受力性能的全过程分析,还不能对实际复杂结构进行分析,有待进一步深化。
